近日,开云在线登陆入口-开云(中国)理论物理研究所的金家森课题组在《物理评论快报》(Physical Review Letters)上发表题为“一维量子接触过程的稳态相变”(Steady-State Phase Transition in One-Dimensional Quantum Contact Process)的论文。第一作者尚琳为理论物理专业在读博士生,金家森副教授为唯一通讯作者,大连理工大学为第一完成单位,香港中文大学为合作单位。本篇论文是在“十五五”开局之年,学院在物理领域顶级期刊发表的又一项重要成果。
非平衡相变是量子物理、凝聚态与统计物理领域的重要研究方向,接触过程是非平衡稳态相变中的一个典型模型,其在模拟流行病动力学、信息扩散等过程中发挥重要作用。然而,将该模型扩展至量子系统时,由于量子相干演化与耗散之间的相互竞争,导致系统稳态呈现许多新奇特性。量子接触过程的一个显著特征是在一维体系中可表现出从吸收相到活跃相的稳态相变。但是此类相变属于连续相变还是非连续相变仍存在较大争议,是该方向的研究焦点。而且该问题涉及非幺正演化和复杂多体作用,具有较大的挑战性。

图1:一维量子接触模型
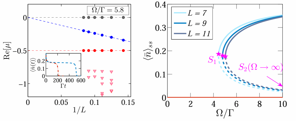
针对上述难题,金家森课题组首先通过计算热力学极限下的刘维尔谱,发现了系统动力学存在亚稳性的特征。为避免亚稳态的干扰,课题组创新性地提出了基于有效场的新型自洽条件,进而将其应用到团簇平均场方法中,准确、有效地捕捉到了系统的真正稳态。基于该方法,金家森课题组不仅通过展示序参量的鞍结分岔行为,为系统稳态相变的不连续性提供有力证据,而且外推出系统在热力学极限下的相变点。此外,研究人员还利用连接团簇展开方法展示了体系磁化率在相变点附近的收敛性,进一步印证了该相变的不连续性。
本文为研究稳态相变及临界行为提供了系统性研究方法,为量子系统吸收态相变提供了关键理论依据和定量结果,为实验研究提供了重要理论参考。

图2:不同尺度下刘维尔谱本征值实部和稳态分支图
金家森副教授长期开展开放量子系统稳态性质研究,以第一/通讯作者在《物理评论快报》《物理评论X》(Physical Review X)等物理学顶级期刊发表论文30余篇,主持国家自然科学基金3项,作为第一完成人获2024年度辽宁省自然科学二等奖。
我校理论物理研究所包括量子物理和量子信息、高能核物理、粒子物理、引力与宇宙学等研究方向,致力于相关领域重要问题的研究和基础物理理论的人才培养。近几年理论物理研究所已在《物理评论快报》《物理评论X》《自然-通讯》(Nature Communications)《自然-天文学》(Nature Astronomy)等顶级期刊上发表多项重要成果。
论文链接:https://journals.aps.org/prl/abstract/10.1103/pxyv-7stl